• Предмет: Алгебра
  • Автор: king03333
  • Вопрос задан 10 лет назад

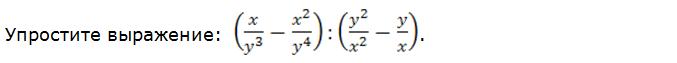
помогите пожалуйста решить.

Приложения:

Ответы

Ответ дал: Матов
0
 frac{frac{x}{y^3}-frac{x^2}{y^4}}{frac{y^2}{x^2}-frac{y}{x}}=frac{frac{yx-x^2}{y^4}}{frac{y^2-yx}{x^2}}=frac{(yx-x^2)x^2}{y^4(y^2-yx)}=frac{ x^3(y-x) }{ y^5(y-x) } = frac{x^3}{y^5}     
Ответ дал: king03333
0
а как вы без знаменателя решали?
Ответ дал: Матов
0
вы посмотрите внимательно , с знаменателем вместе я решал
Вас заинтересует