• Предмет: Химия
  • Автор: dimasik51295
  • Вопрос задан 10 лет назад

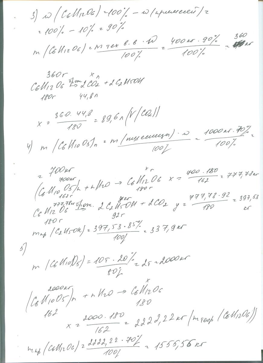
Помогите решить 3, 4 и 5 задачи, умоляю((( Мне срочно нужно.

Приложения:

Ответы

Ответ дал: udodovi
0
прикрепила,,,,,,,,,,,,,,,,,,,,,,,,,,,,,,,,,,,,,,,,,,,,,,
Приложения:
Ответ дал: udodovi
0
пойдет?
Вас заинтересует