• Предмет: Алгебра
  • Автор: Аноним
  • Вопрос задан 11 лет назад

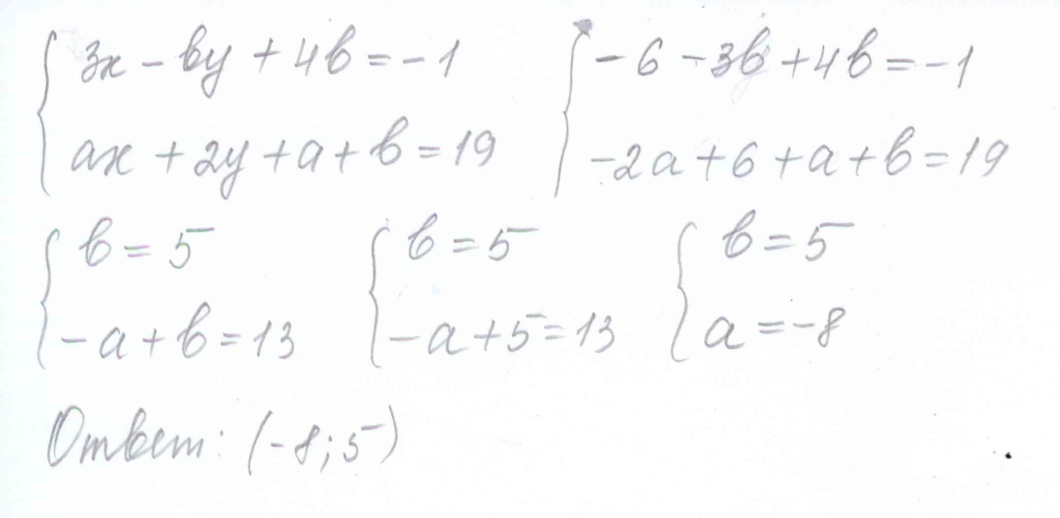
Пара чисел (-2;3) является решением системы уравнений

3x-by+4b=-1

ax+2y+a+b=19

Найдите значения a и b

Ответы

Ответ дал: знатокматематики
0

left { {{3x-by+4b=-1} atop {ax+2y+a+b=19}} right\ left { {{-6-3b+4b=-1} atop {-2a+6+a+b=19}} right\ left { {{-6+b=-1} atop {-a+b=13}} right\ left { {{b=5} atop {-a+5=13}} right\ left { {{b=5} atop {-a=8}} right\ left { {{b=5} atop {a=-8}} right\

Ответ: a=-8; b=5

Ответ дал: TANYSHIK
0

решение во вложенном файле!!!!!!!!!!!!!!!!

Приложения:
Вас заинтересует