• Предмет: Математика
  • Автор: Snowflake2000
  • Вопрос задан 10 лет назад

Помогите решить примеры по математике

Приложения:

Ответы

Ответ дал: yakimovich1997
0
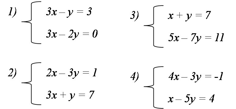
1)3х-у=3 (*2                          2)2х-3у=1
   3х-2у=0                                3х+у=7  (·3
   6х-2у=6                                2х-3у=1
   3х-2у=0                                6х+3у=21
   3х=6                                     -4х=-20
   х=2                                       х=5
   6-у=3                                    10-3у=1
   -у=3-6                                    -3у=1-10
   -у=-3                                      3у=9
     у=3                                      у=3
Ответ:У=3 х=2                          Ответ:х=5 у=3
3)х+у=7  (·7
5х-7у=11
7х+7у=49
5х-7у=11
2х=38
х=19
19+у=7
у=-12
Ответ:х=19  у=-12
4)4х-3у=-1
х-5у=4  (*-4
4х-3у=-1
-4х+20у=-16
17у=-17
у=-1
4х-3*(-1)=-1
4х+3=-1
4х=-4
х=-1
Ответ:х=-1  у=-1
Ответ дал: yakimovich1997
0
4) 4х-3у=-1
Вас заинтересует