Ответы
Ответ дал:
0
Группировка:
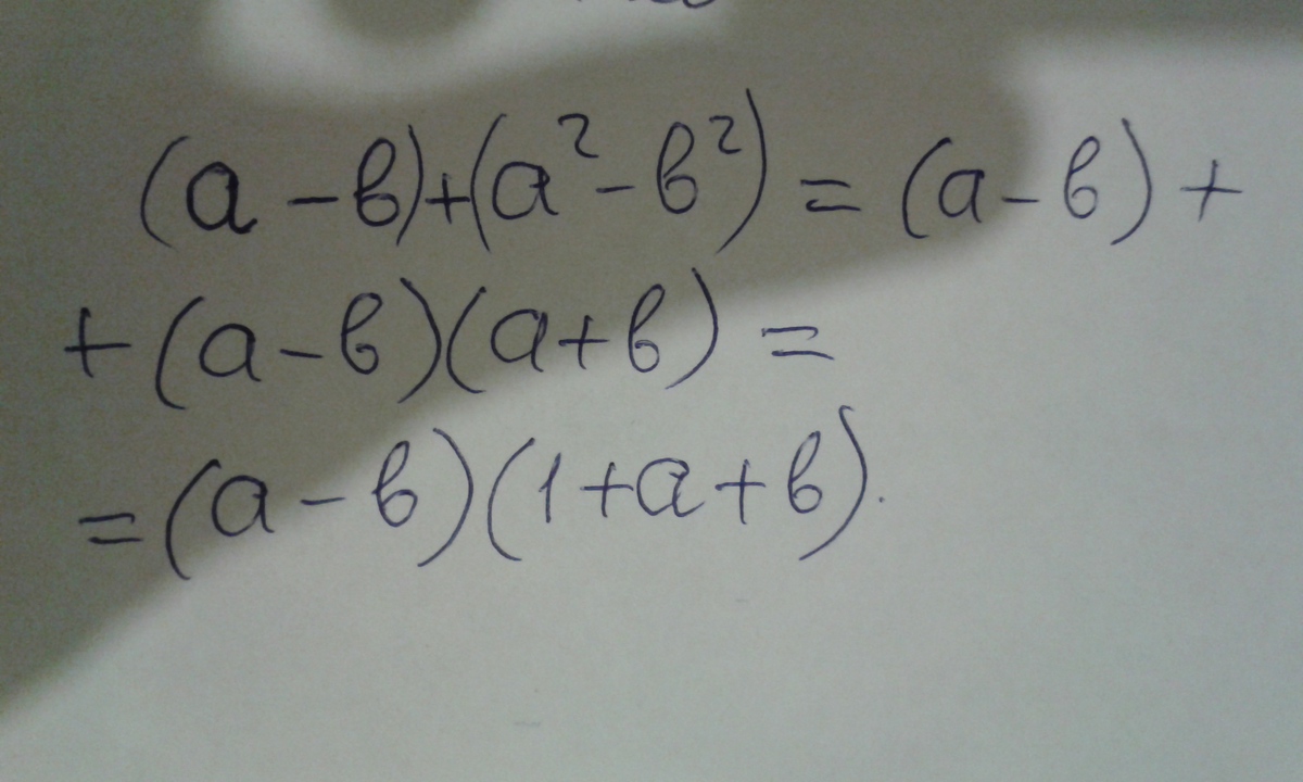
(а- b)(а^2 - b^2) = (a-b) *2(a-b) = 2(a-b)(a-b)
(а- b)(а^2 - b^2) = (a-b) *2(a-b) = 2(a-b)(a-b)
Ответ дал:
0
. . . . . . . . . . . . . . . . .
Приложения:

Ответ дал:
0
Спасибо большое!
Вас заинтересует
2 года назад
7 лет назад
7 лет назад
10 лет назад
10 лет назад
10 лет назад