• Предмет: Алгебра
  • Автор: iosdjw
  • Вопрос задан 11 лет назад

помогите решить пожалуйста

внутри

Приложения:

Ответы

Ответ дал: Mashka345
0

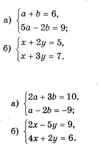
а) фигурная скобка:

а+в=6

5а-2в=9

выражаем переменную а и подставляем во вторую строчку:

а=6-в

5(6-в)-2в=9

раскрываем скобки:

а=6-в

30-5в-2в=9

 

а=6-в

-7в=9-30

 

-7в=-21

в=3

а=6-в

а=6-3=3

не забудь ставить знак системы))) остальные выпоглняются по такому же признаку, если нужно и их, то обращайся))

Вас заинтересует