• Предмет: Математика
  • Автор: Dfjsfijvxeonm
  • Вопрос задан 10 лет назад

Пожалуйста помогите((((

Приложения:

Ответы

Ответ дал: kiska200048
0
-6 целых 4/9 / (-3 целых 1/3)= 1 целая 14/15       
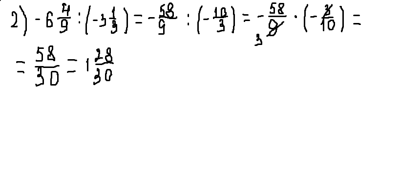
Ответ дал: Ole4ka03
0
вот)................
Приложения:
Вас заинтересует