• Предмет: Физика
  • Автор: 23346587
  • Вопрос задан 10 лет назад

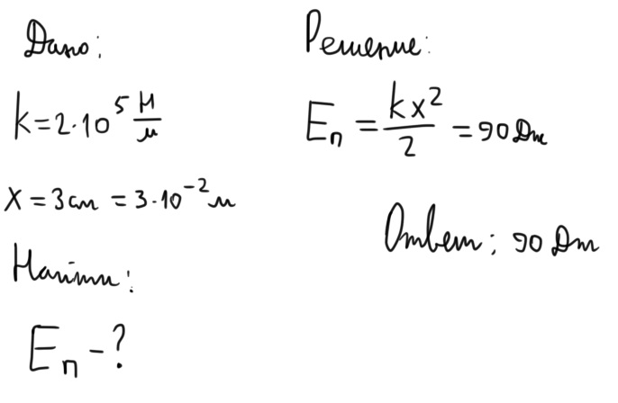
пружина жесткостью k=2*10 (в 5 степени) H/м под действием силы упругости удлиняется на 3 см. Какова потенциальная энергия растянутой пружины?
Решите пожалуйстаааа)

Ответы

Ответ дал: nikolac
0
Решение на картинке.
Приложения:
Вас заинтересует