Ответы
Ответ дал:
0
===============================
Приложения:

Ответ дал:
0
так покороче:
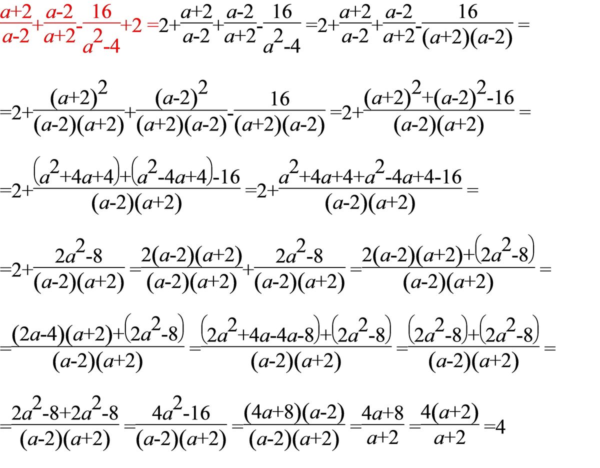
(а+2/a-2) + (a-2/a+2) - (16/a^2-4) + 2 = a^2+2a+2a+4+a^2-2a-2a+4-16+2a^2-8/a^2-4 = 4a^2-16/a^2-4 = 4(a^2-4)/a^2-4 = 4
Приложения:

Вас заинтересует
2 года назад
2 года назад
10 лет назад
10 лет назад
10 лет назад