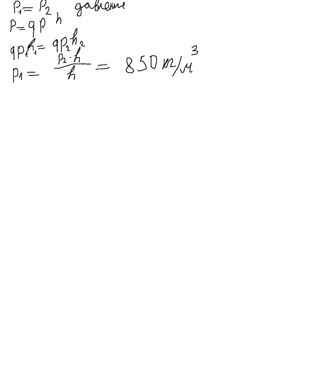
В левом колене сообщающихся сосудов есть ртуть высотой 2 см,а в правом другая жидкость высотой 32 см,найдите плотность неизвестной жидкости,если плотность ртути=13600кг/м в кубе
Ответы
Ответ дал:
0
,,,,,,,,,,,,,,,,,,,,,
Приложения:

Вас заинтересует
2 года назад
8 лет назад
8 лет назад
10 лет назад
10 лет назад