ПОМОГИТЕ НАДО ДО ЗАВТРА !!!
Четырёхугольник ABCD описан около окружности радиусом r=2 см. Известно, что AB:CD=2:3. AD:BC=2:1. Найдите стороны четырёхугольника , если его площадь S=20 см ?
ПОЖАЛУЙСТА ЕСЛИ МОЖНО ПОМОГИТЕ !!!
Ответы
Ответ дал:
0
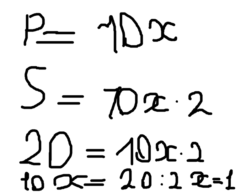
ответ: АВ=2 СD=3 AD=2 BC=1
вроде так
вроде так
Приложения:
Вас заинтересует
3 года назад
3 года назад
8 лет назад
8 лет назад
11 лет назад
11 лет назад
11 лет назад