• Предмет: Математика
  • Автор: Аноним
  • Вопрос задан 10 лет назад

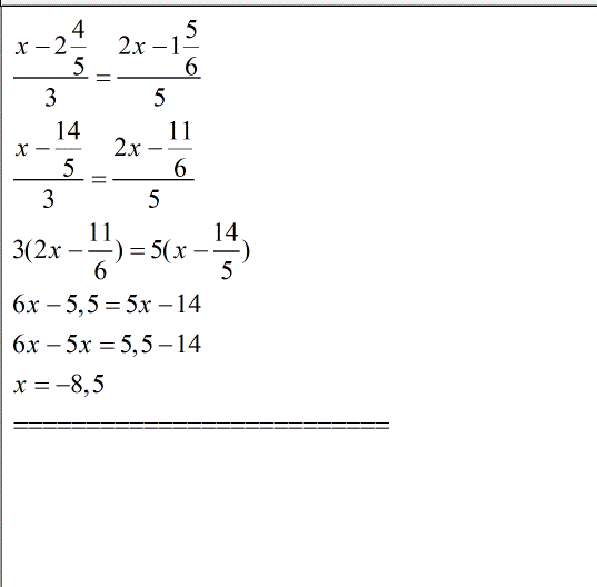
При каких значениях X пропорция верна? 

Приложения:

Ответы

Ответ дал: iakovsobolev
0
про 0 пропорция равна
Ответ дал: triolana
0
========================================
Приложения:
Вас заинтересует