Ответы
Ответ дал:
0
вот это под буквами а- г
и номер два тоже
и номер два тоже
Приложения:




Ответ дал:
0
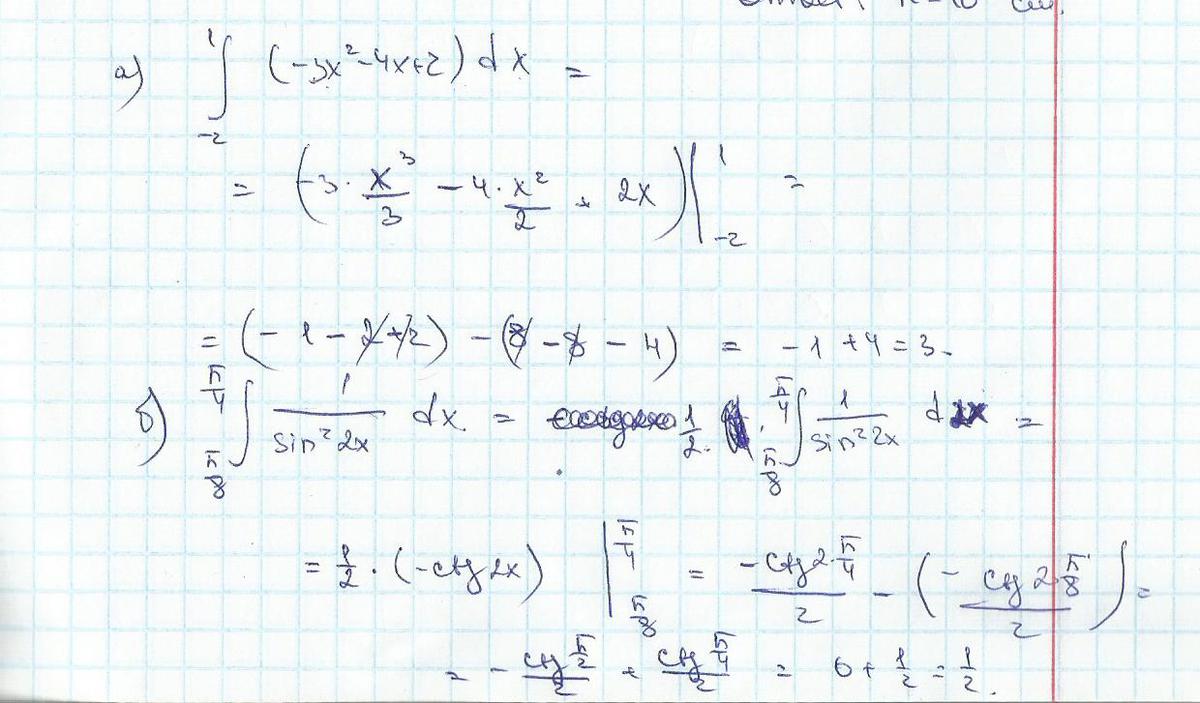
а) -3*(x^3)/3 - 4*(x^2)/2 + 2x = -x^3 - 2x^2 + 2x
(-1 - 2 + 2) - (8 - 8 - 4) = -1 + 4 = 3
б) -0,5*ctg(2x)
-0.5*ctg(2*π/4) + 0.5*ctg(2*π/8) = -0.5*ctg(π/2) + 0.5*ctg(π/4) = 0.5
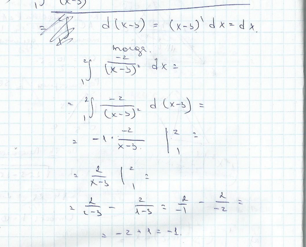
в) -2*интеграл(1/(x-3)^2)d(x-3) = 2*(x-3)^(-1) = 2/(x-3)
2/(2-3) - 2/(1-3) = -2 + 1 = -1
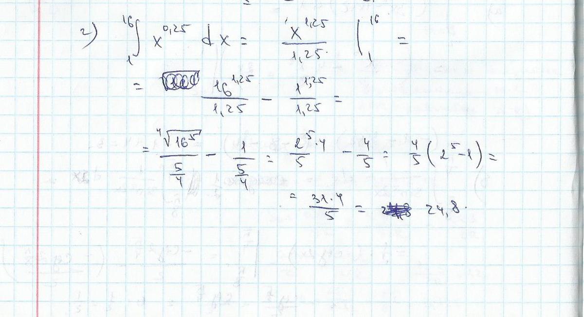
г) x^(1.25) / 1.25
(16^(1.25)/1.25) - 16/1.25 = (32/1.25) - 12.8 = 25.6 - 12.8 = 12.8
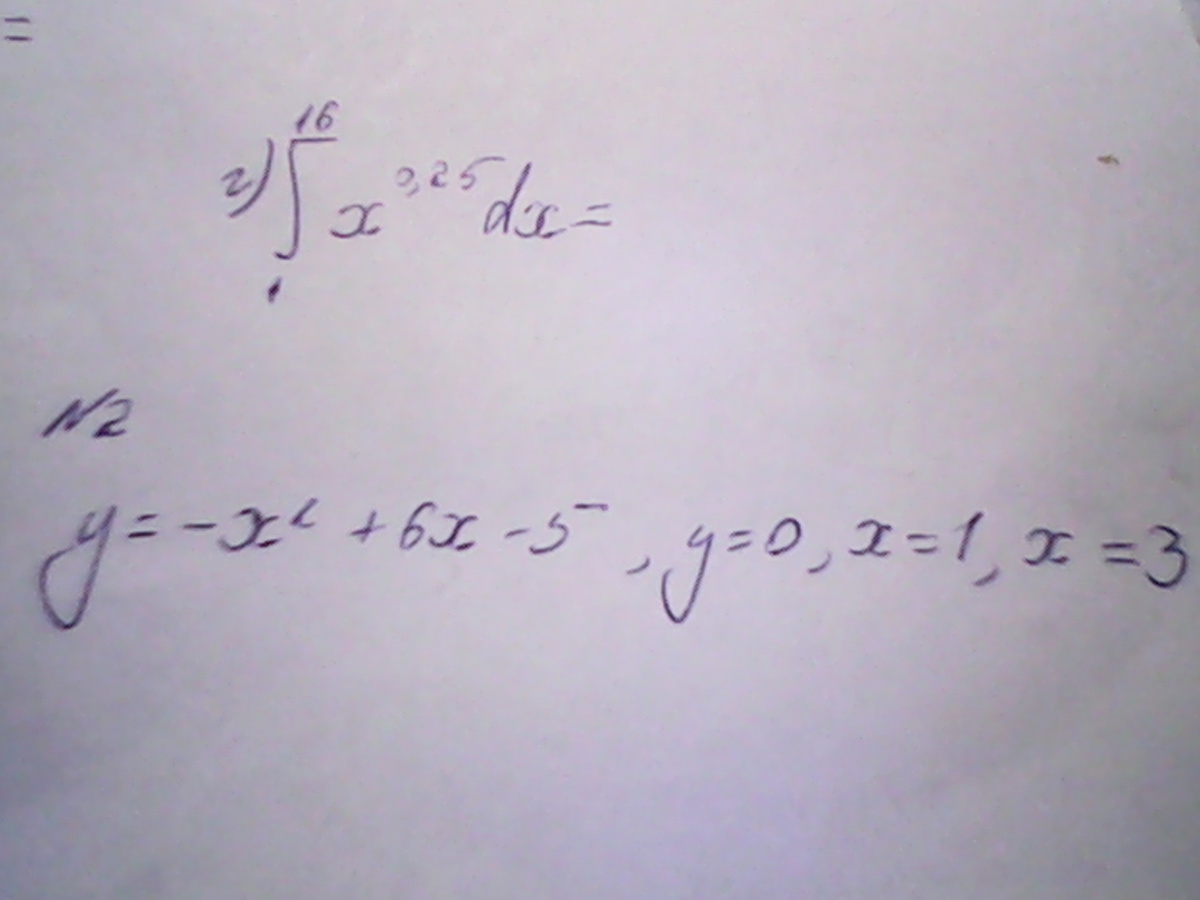
д) y = -x^2 + 6x - 5
y=0, x=1, x=3
площадь получившейся фигуры S = интеграл(-x^2 + 6x - 5)dx (в пределах от 1 до 3) = -(x^3)/3 + 6*(x^2)/2 - 5x = -(x^3)/3 + 3x^2 - 5x
(-(1/3) + 3 - 5) - (-9 + 27 - 15) = -1/3 - 2 + 9 - 27 + 15 = -1/3 - 5 = -16/3
(-1 - 2 + 2) - (8 - 8 - 4) = -1 + 4 = 3
б) -0,5*ctg(2x)
-0.5*ctg(2*π/4) + 0.5*ctg(2*π/8) = -0.5*ctg(π/2) + 0.5*ctg(π/4) = 0.5
в) -2*интеграл(1/(x-3)^2)d(x-3) = 2*(x-3)^(-1) = 2/(x-3)
2/(2-3) - 2/(1-3) = -2 + 1 = -1
г) x^(1.25) / 1.25
(16^(1.25)/1.25) - 16/1.25 = (32/1.25) - 12.8 = 25.6 - 12.8 = 12.8
д) y = -x^2 + 6x - 5
y=0, x=1, x=3
площадь получившейся фигуры S = интеграл(-x^2 + 6x - 5)dx (в пределах от 1 до 3) = -(x^3)/3 + 6*(x^2)/2 - 5x = -(x^3)/3 + 3x^2 - 5x
(-(1/3) + 3 - 5) - (-9 + 27 - 15) = -1/3 - 2 + 9 - 27 + 15 = -1/3 - 5 = -16/3
Приложения:

Ответ дал:
0
не в том порядке вычислила: вначале подставить верхнее значение (3), потом вычесть выражение с подставленным нижним значением (1)
Вас заинтересует
2 года назад
8 лет назад
8 лет назад
10 лет назад
10 лет назад
10 лет назад