Ответы
Ответ дал:
0
2(х-3)-9>-4
2х-6-9>-4
2x>-4+6+9
2x>11|:2
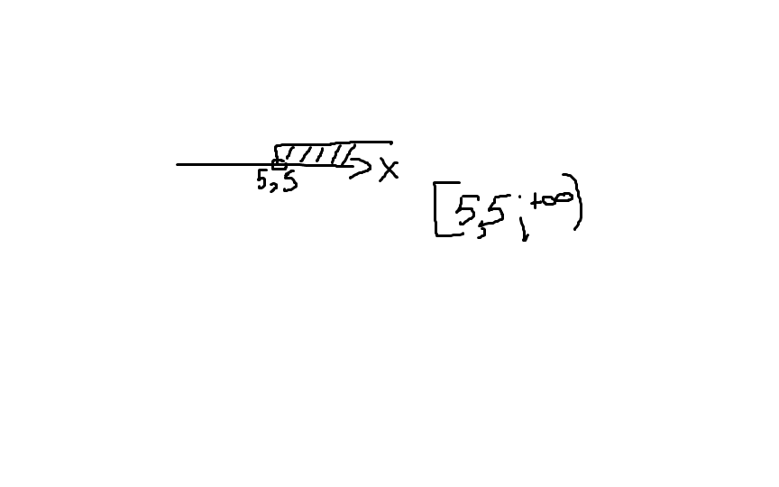
x>5,5
.........
смотри файлик
2х-6-9>-4
2x>-4+6+9
2x>11|:2
x>5,5
.........
смотри файлик
Приложения:
Ответ дал:
0
не за что)
Ответ дал:
0
правда есть кое-какая погрешность в ответе в файле. у тебя там написано [5,5;+∞) , а надо (5,5;+∞)
Вас заинтересует
3 года назад
3 года назад
8 лет назад
8 лет назад
11 лет назад
11 лет назад