Задания
1. Что называется окислителем? Приведите
пример типичного окислителя.
2. Что называется процессом окисления?
Приведите пример данного процесса.
3. Что называется восстановителем? Приведите
пример типичного восстановителя.
4. Что называется процессом восстановления?
Приведите пример данного процесса.
2. Определите степени окисления элементов в
веществах:
а)
Na3P, HNO3, Al2(SO4)3. б) NO2, H2SO4, KClO3
в) CaC2, H2CO3, Cu(NO3)2. г) AlCl3, H3PO4, KMnO4
3.
Напишите уравнения химических реакций, соответствующих схеме превращений:
а) S→SO2→Na2SO3→CaSO3 б) P→P2O5→K3PO4→Ag3PO4
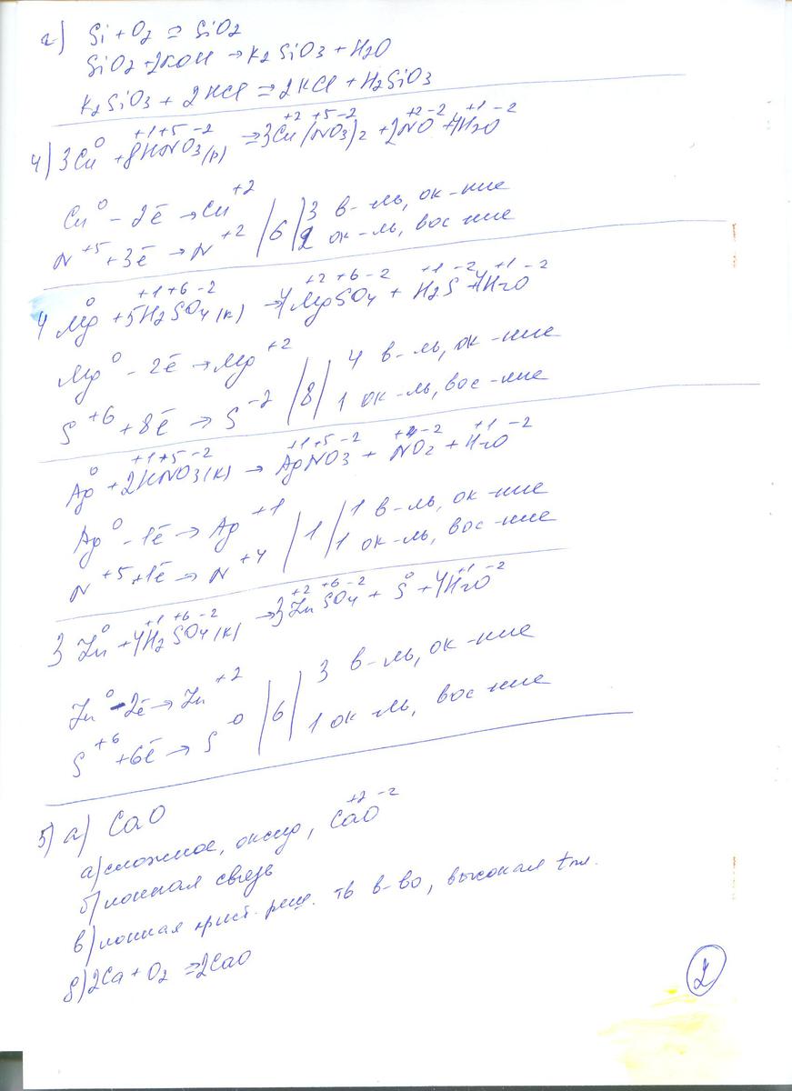
в) C→CO2→Na2CO3→CaCO3 г) Si→SiO2→K2SiO3→H2SiO3
4. С
помощью метода электронного баланса расставьте коэффициенты в схеме
химической реакции:
а) Cu + HNO3(р)→ Cu(NO3)2 + NO + H2O
б) Mg + H2SO4(k)→ MgSO4 + H2S
+ H2O
в) Ag + HNO3(k)→ AgNO3 + NO2 + H2O
г) Zn + H2SO4(k)→ ZnSO4 + S + H2O
5. Дайте
характеристику вещества а)СаО, б)HCl, в)КОН, г)NaCl
по
плану:
а) состав (простое или сложное вещество,
принадлежность к классу, степени окисления элементов);
б) укажите вид химической связи;
в) какую кристаллическую решетку имеет это
вещество, предскажите его физические свойства;
г) раскройте химические свойства этого
вещества, запишите уравнения химической реакции в свете ТЭД и ОВР;
д) предложите способ получения этого вещества.
Запишите соответствующее уравнение химической реакции.
плиз помогите
Ответы
Ответ дал:
0
1) Окислитель - вещество, чьи атомы в процессе химической реакции присоединяют электроны.
Окисление - процесс отдачи атомами вещества электронов.
Восстановитель - вещество, чьи атомы в процессе химической реакции отбирают электроны.
Восстановление - процесс приема атомами вещества электронов.
2) а) Na(+2) P(-3), H(+)N(+5)O3(-2), Al(+3) S(+6) O2(-2)
б) N(+4) O2(-2), H(+) S(+6) O2(-K(+) Cl(+5) O2(-2)
в)Ca(+2) C(-), H(+) C(+4) O3(-2), Cu(+2) N(+5) O2(-2)
г)Al(+3) Cl(-), H(+) P(+5) O2(-2), K(+) Mn(+7) O2(-2)
3) S→SO2→Na2SO3→CaSO3
S + O2 = SO2
SO2 + 2 NaOH = H2O + Na2SO3
б) P→P2O5→K3PO4→Ag3PO4
4 P + 5 O2 = 2 P2O5
P2O5 + 6 KOH = 3 H2O + 2 K3PO4
K3PO4 + 3 AgCl = Ag3PO4 + 3 KCl
в) C→CO2→Na2CO3→CaCO3
C + O2 = CO2
CO2 + 2 NaOH = H2O + Na2CO3
Na2CO3 + CaCl2 = CaCO3 + 2 NaCl
4) а) Cu + HNO3 = Cu(NO3)2 + NO + H2
б) 4 Mg + 5 H2SO4 = 4 MgSO4 + H2S + 4 H2O
в) 2 Ag + 2 HNO3 = 2 AgNO3 + NO2 + H2
г) 3 Zn + 4 H2SO4 = 3 ZnSO4 + S + 4 H2O
5) 1) CaO, оксид кальция, сложное вещество, основный оксид, Ca(+2), O2(-2)
Хим. связь - ионная, кристаллическая решетка - кубическая гранецентрированная.
Реагирует с кислотами:
CaO + 2 HCl = CaCl2 + H2O
CaO + 2 H(+) = Ca + 2H2O
Реагирует с кислотными оксидами:
CaO + SO3 = CaSO4
Реагирует с водой:
CaO + H2O = Ca(OH)2
Получают разложением карбоната кальция:
CaCO3 = CO2 + CaO
2) HCl, соляная кислота, сложное вещество, кислота, H(+), Cl(-)
Хим. связь - ковалентная полярная, кристаллическая решетка - молекулярная (в твердом виде).
Реагирует с металлами в РАМ стоящими до водорода:
2 HCl + Ca = CaCl2 + H2
Реагирует с основаниями:
HCl + NaOH = H2O + NaCl
Реагирует с основными и амфотерными оксидами:
2 HCl + CuO = CuCl2 + H2O
6 HCl + Al2O3 = 2 AlCl3 + 3 H2O
Получение:
(избыток хлорида натрия, t выше 550 °C)
2 NaCl + H2SO4 = 2 HCl + Na2SO4
3) KOH, гидроксид калия, растворимое основание (щелочь), K(+), O2(-2), H(+), сложное вещество.
Хим. связь - ковалентная полярная и ионная.
Реагирует с кислотами:
2 KOH + H2SO4 = 2 H2O + K2SO4
Реагирует с кислотными оксидами:
2 KOH + CO2 = H2O + K2CO3
Реагирует с амфотерными гидроксидами:
KOH + Al(OH)3 = 2 H2O + KAlO2
2 KOH + Zn(OH)2 = K2[Zn(OH)4]
Получение:
2 K + 2 H2O = H2 + 2 KOH
4) NaCl, хлорид натрия, средняя соль, Na(+), Cl2(-)
Хим. связь - ионная, кристаллическая решетка - кубическая гранецентрированная.
Реагирует с солями (если образуется нерастворимая соль после реакции):
NaCl + AgNO3 = AgCl + NaNO3
Cl(-) + Ag(+) = AgCl
Реагирует с некоторыми кислотами:
2 NaCl + H2SO4 = 2 HCl + Na2SO4
Получение:
NaOH + HCl = H2O + NaCl
Окисление - процесс отдачи атомами вещества электронов.
Восстановитель - вещество, чьи атомы в процессе химической реакции отбирают электроны.
Восстановление - процесс приема атомами вещества электронов.
2) а) Na(+2) P(-3), H(+)N(+5)O3(-2), Al(+3) S(+6) O2(-2)
б) N(+4) O2(-2), H(+) S(+6) O2(-K(+) Cl(+5) O2(-2)
в)Ca(+2) C(-), H(+) C(+4) O3(-2), Cu(+2) N(+5) O2(-2)
г)Al(+3) Cl(-), H(+) P(+5) O2(-2), K(+) Mn(+7) O2(-2)
3) S→SO2→Na2SO3→CaSO3
S + O2 = SO2
SO2 + 2 NaOH = H2O + Na2SO3
б) P→P2O5→K3PO4→Ag3PO4
4 P + 5 O2 = 2 P2O5
P2O5 + 6 KOH = 3 H2O + 2 K3PO4
K3PO4 + 3 AgCl = Ag3PO4 + 3 KCl
в) C→CO2→Na2CO3→CaCO3
C + O2 = CO2
CO2 + 2 NaOH = H2O + Na2CO3
Na2CO3 + CaCl2 = CaCO3 + 2 NaCl
4) а) Cu + HNO3 = Cu(NO3)2 + NO + H2
б) 4 Mg + 5 H2SO4 = 4 MgSO4 + H2S + 4 H2O
в) 2 Ag + 2 HNO3 = 2 AgNO3 + NO2 + H2
г) 3 Zn + 4 H2SO4 = 3 ZnSO4 + S + 4 H2O
5) 1) CaO, оксид кальция, сложное вещество, основный оксид, Ca(+2), O2(-2)
Хим. связь - ионная, кристаллическая решетка - кубическая гранецентрированная.
Реагирует с кислотами:
CaO + 2 HCl = CaCl2 + H2O
CaO + 2 H(+) = Ca + 2H2O
Реагирует с кислотными оксидами:
CaO + SO3 = CaSO4
Реагирует с водой:
CaO + H2O = Ca(OH)2
Получают разложением карбоната кальция:
CaCO3 = CO2 + CaO
2) HCl, соляная кислота, сложное вещество, кислота, H(+), Cl(-)
Хим. связь - ковалентная полярная, кристаллическая решетка - молекулярная (в твердом виде).
Реагирует с металлами в РАМ стоящими до водорода:
2 HCl + Ca = CaCl2 + H2
Реагирует с основаниями:
HCl + NaOH = H2O + NaCl
Реагирует с основными и амфотерными оксидами:
2 HCl + CuO = CuCl2 + H2O
6 HCl + Al2O3 = 2 AlCl3 + 3 H2O
Получение:
(избыток хлорида натрия, t выше 550 °C)
2 NaCl + H2SO4 = 2 HCl + Na2SO4
3) KOH, гидроксид калия, растворимое основание (щелочь), K(+), O2(-2), H(+), сложное вещество.
Хим. связь - ковалентная полярная и ионная.
Реагирует с кислотами:
2 KOH + H2SO4 = 2 H2O + K2SO4
Реагирует с кислотными оксидами:
2 KOH + CO2 = H2O + K2CO3
Реагирует с амфотерными гидроксидами:
KOH + Al(OH)3 = 2 H2O + KAlO2
2 KOH + Zn(OH)2 = K2[Zn(OH)4]
Получение:
2 K + 2 H2O = H2 + 2 KOH
4) NaCl, хлорид натрия, средняя соль, Na(+), Cl2(-)
Хим. связь - ионная, кристаллическая решетка - кубическая гранецентрированная.
Реагирует с солями (если образуется нерастворимая соль после реакции):
NaCl + AgNO3 = AgCl + NaNO3
Cl(-) + Ag(+) = AgCl
Реагирует с некоторыми кислотами:
2 NaCl + H2SO4 = 2 HCl + Na2SO4
Получение:
NaOH + HCl = H2O + NaCl
Ответ дал:
0
прикрепила,,,,,,,,,,,,,,,,,,,,,,,,,,,,,,,,,,,,,,,,,,,,,,,,,,,,,,,,,,,,,,
Приложения:




Вас заинтересует
2 года назад
2 года назад
8 лет назад
8 лет назад
10 лет назад
10 лет назад