Система неравенств. Задание на фото.
Прошу расписать,если не лень. Буду благодарен.)
Приложения:
Ответы
Ответ дал:
0
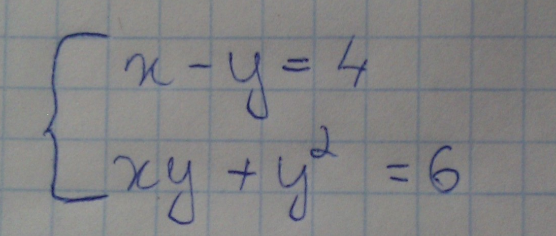
x-y=4
xy+y²=6
-------
x=4+y
y(4+y)+y²=6
y²+4y+y²-6=0
y²+2y-3=0
D=4+12=16
y12=(-2+-4)/2=1 -3
y=1
x=4+y=5
y=-3
x=4-3=1
xy+y²=6
-------
x=4+y
y(4+y)+y²=6
y²+4y+y²-6=0
y²+2y-3=0
D=4+12=16
y12=(-2+-4)/2=1 -3
y=1
x=4+y=5
y=-3
x=4-3=1
Вас заинтересует
3 года назад
3 года назад
8 лет назад
11 лет назад
11 лет назад
11 лет назад