Ответы
                                            Ответ дал: 
                                                                                    
                                        
                                            
                                                
                                                
                                                
                                                    0
                                                
                                            
                                        
                                    
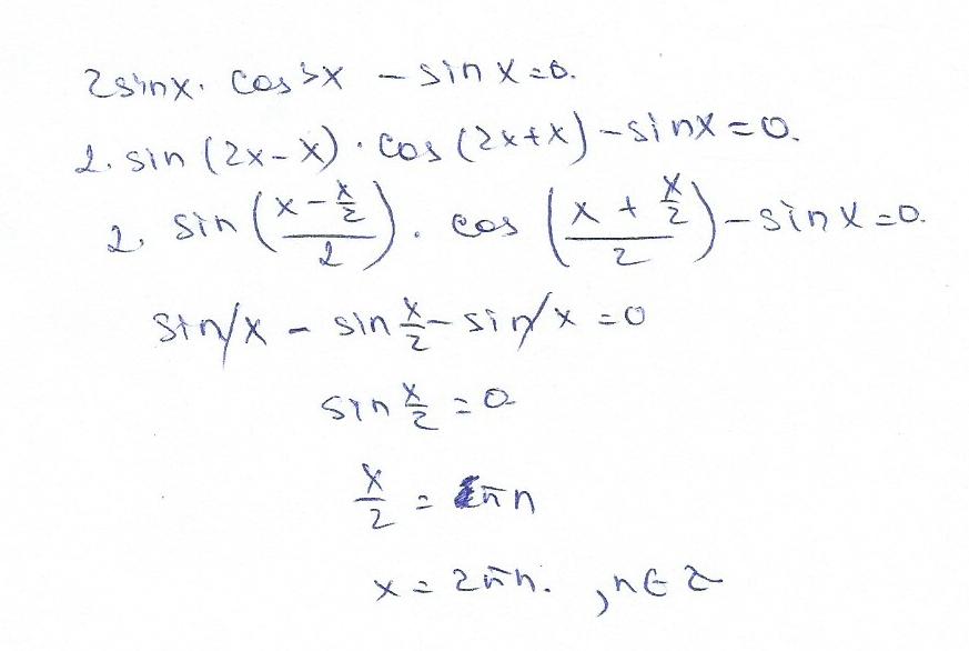
                                        ой, только увидела, ведь у тебя и так по сути решено почти) а я вот по-другому решала) посмотри
на второй картинке решение как у тебя в комментариях написано
                                                на второй картинке решение как у тебя в комментариях написано
Приложения:
                    
                            
                            Вас заинтересует
                
                        2 года назад
                    
                
                        8 лет назад
                    
                
                        8 лет назад
                    
                
                        10 лет назад
                    
                
                        10 лет назад