Найдите наибольшее значение х, удовлетворяющее системе неравенств.
у меня получилось 3 и 0.25
Приложения:

Ответы
Ответ дал:
0
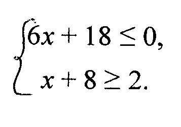
Решение первого уравнения
6x+18=0
6x=-18
x=-3
Решение второго уравнения
x+8=2
x=-6
Из этого следует, что -3 > -6
Ответ: -3
6x+18=0
6x=-18
x=-3
Решение второго уравнения
x+8=2
x=-6
Из этого следует, что -3 > -6
Ответ: -3
Вас заинтересует
2 года назад
2 года назад
8 лет назад
8 лет назад
10 лет назад
10 лет назад
10 лет назад