• Предмет: Геометрия
  • Автор: Dinexx
  • Вопрос задан 10 лет назад

Задача 5.4.52 пункт б. Помогите!

Приложения:

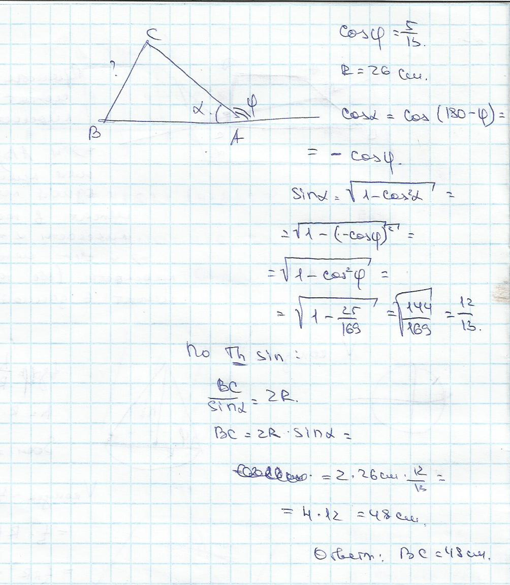
Ответы

Ответ дал: Юля10а
0
смотри решение внизу)
Приложения:
Вас заинтересует