Ответы
Ответ дал:
0
. . . . . . . . . . .
Приложения:

Ответ дал:
0
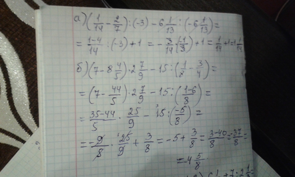
1)в первых скобках будет -9дробь5 (-9/5)
2) во вторых скобках будет -5/8
3)-9/5×25/9(перевела в десятичную дробь) =-5
4)15/1÷-5/8= (деление заменяем умножением и вторую дробь переворачиваем) = -16
5)-5-(-16)= (минус на минус дает нам +) =-5+16=11
2) во вторых скобках будет -5/8
3)-9/5×25/9(перевела в десятичную дробь) =-5
4)15/1÷-5/8= (деление заменяем умножением и вторую дробь переворачиваем) = -16
5)-5-(-16)= (минус на минус дает нам +) =-5+16=11
Приложения:

Вас заинтересует
2 года назад
8 лет назад
8 лет назад
10 лет назад
10 лет назад
10 лет назад