Ответы
Ответ дал:
0
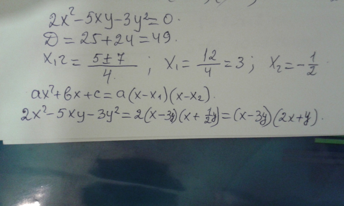
2x^2-5xy-3y^2=(2х^2-6xy)+(xy-3y^2)=2x(x-3y)+y(x-3y)=(x-3y)(2x+y)
Ответ дал:
0
. . . . . . . . . . . . .ь. . . .
Приложения:

Вас заинтересует
2 года назад
8 лет назад
8 лет назад
10 лет назад
10 лет назад
10 лет назад