Помогите составить электронный баланс для 1) уравнения и ионное уравнение для 2)
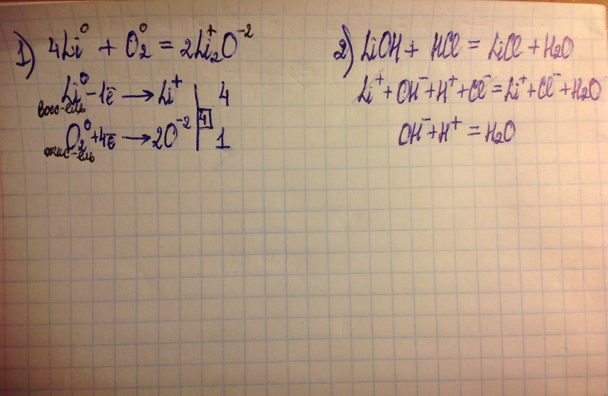
1)4Li+O2=2Li2O
2)LiOH+HCl=LiCl+H2O
Ответы
Ответ дал:
0
Лови
Приложения:

Вас заинтересует
2 года назад
8 лет назад
10 лет назад
10 лет назад