• Предмет: Алгебра
  • Автор: Arenkor
  • Вопрос задан 10 лет назад

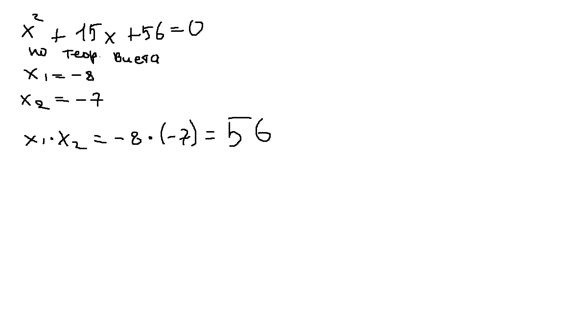
найти произведения корней уравения х²+15х+56=0

Ответы

Ответ дал: Cawkaaa
0
....................................
Приложения:
Ответ дал: Юлька8888
0
х²+15х+56=0
D=b²-4ac, D=225-224=1
x1= frac{-b- sqrt{D} }{2a} = -8
x2= frac{-b+ sqrt{D} }{2a} = -7
x1×x2= -8×(-7) =56
Ответ: 56
Приложения:
Вас заинтересует