• Предмет: Математика
  • Автор: ксюша151
  • Вопрос задан 10 лет назад

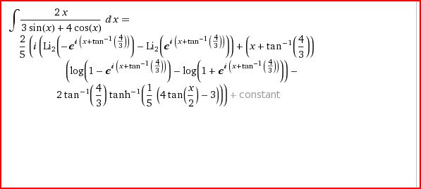
интеграл 2x разделить на 3sinx+4cosx

Ответы

Ответ дал: GGenius
0
получится: x*4^sinx=xy => y=4^sinx =>  обратную замену  4^cosx=4^sinx =>cosx=sinx делим на cosx tgx=1x=pi/4+pin2) 2pi<= pi/4+pin<=7pi/2n=1 n=2подставляем в pi/4+pinответ: 5pi/4 ; 9pi/4

Ответ дал: wolfs7
0
Полилогарифм-Li////////////////////////////////////////////////////////////////////////////////////////////////////////////////////////////////
Приложения:
Вас заинтересует