• Предмет: Алгебра
  • Автор: Vika19990207
  • Вопрос задан 10 лет назад

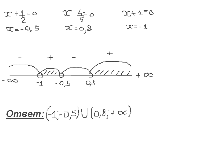
(х+1/2)(х-4/5)(х+1)>0

Ответы

Ответ дал: karinaK99
0
--------------------------
Приложения:
Вас заинтересует