Ответы
Ответ дал:
0
☆★☆★☆★☆★☆★☆★☆★☆★☆★☆★☆★☆★☆★☆★☆★☆★☆★☆★
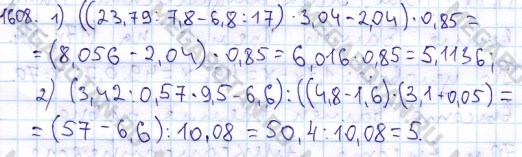
Приложения:
Ответ дал:
0
1) 18-5%
2 ) 54-15%
3)90-25%
4)18*9=162-45%
1637(1
110+(35+35)=180 градусов
1638 напиши условие этого номера
2 ) 54-15%
3)90-25%
4)18*9=162-45%
1637(1
110+(35+35)=180 градусов
1638 напиши условие этого номера
Приложения:
Вас заинтересует
3 года назад
3 года назад
8 лет назад
8 лет назад
10 лет назад
10 лет назад
11 лет назад