Ответы
Ответ дал:
0
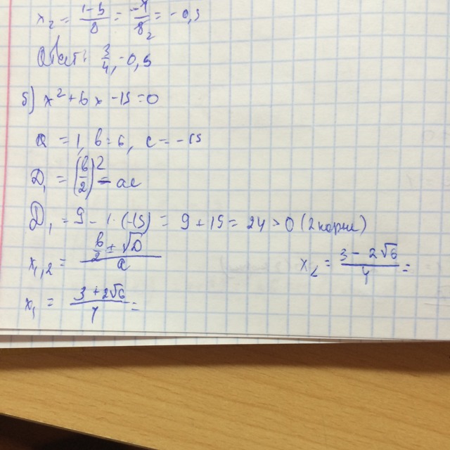
Мне кажется, или в записи дискриминанта косяк?
D=b^2-4*a*c ну как бы меня так учили :)
то есть D= 36+60=96=16*6
x1=(-b+sqrt(D))/2 и x2=(-b-sqrt(D))/2
x1=(-6+4sqrt(6))/2 = -3+2sqrt(6)
x2= (-6-4sqrt(6))/2 = -3-2sqrt(6) где ^2 возведение в квадрат sqrt() - корень
Ну вообще должно быть так, вроде :)
D=b^2-4*a*c ну как бы меня так учили :)
то есть D= 36+60=96=16*6
x1=(-b+sqrt(D))/2 и x2=(-b-sqrt(D))/2
x1=(-6+4sqrt(6))/2 = -3+2sqrt(6)
x2= (-6-4sqrt(6))/2 = -3-2sqrt(6) где ^2 возведение в квадрат sqrt() - корень
Ну вообще должно быть так, вроде :)
Ответ дал:
0
да, я уже вспомнила про четный коэффициент, но с ним столько путаницы. Просто если в задании прям указано, что при четном b решать через такой дискриминант, то окау, тогда вроде когда уже находишь х1 и х2, то там перед b/2 все равно должен быть минус ибо по сути решение с дискриминантом четного коэффициента это тоже самое, только идет замена b=2k, так что минус потерян, и делишь на 1. Ну тогда ответы совпадут.
Вас заинтересует
3 года назад
8 лет назад
11 лет назад
11 лет назад
11 лет назад