• Предмет: Математика
  • Автор: lovaVALYAlova
  • Вопрос задан 10 лет назад

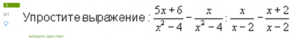
помогите пожалуйста решит мне

Приложения:

Ответы

Ответ дал: 99tasha
0
=========================================================
в файле:
Приложения:
Вас заинтересует