Решите систему уравнений способом подстановки:
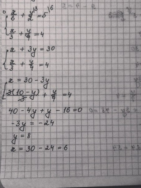
3)х/6+y/2=5 ,x/3+y/4=4 и слева фигурная скобка
Решите пожалуйста!
Ответы
Ответ дал:
0
Вот так получилось. Можешь подставить значения, чтобы удостовериться в правильности решения, или же сравнить с ответом.
Успехов. :)
Успехов. :)
Приложения:

Ответ дал:
0
Спасибо)
Вас заинтересует
8 лет назад
10 лет назад
10 лет назад
10 лет назад