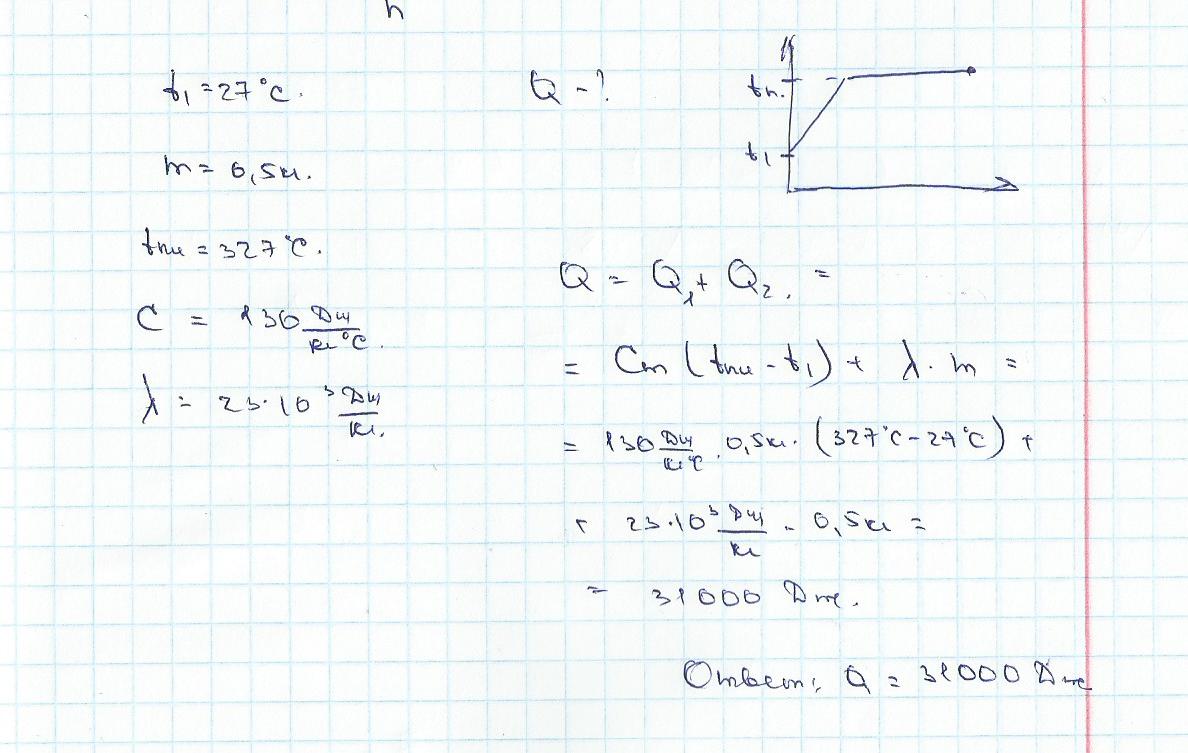
Какое количество теплоты требуется для плавления куска свинца массой 0,5 кг, взятого при температуре 27*С?
Ответы
Ответ дал:
0
смотри решение внизу)
Приложения:
Вас заинтересует
3 года назад
3 года назад
8 лет назад
8 лет назад
11 лет назад
11 лет назад
11 лет назад