• Предмет: Алгебра
  • Автор: Аноним
  • Вопрос задан 10 лет назад

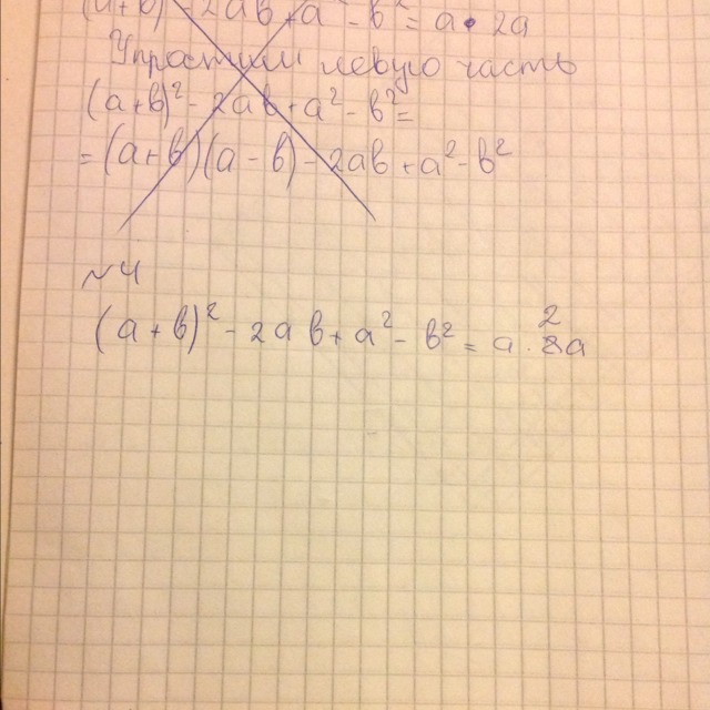
Докажите пожалуйста тождество

Приложения:

Ответы

Ответ дал: lbrcjy
0
а2+2ав+в2-2ав+а2-в2=2а2                                                                                           2а2=2а2. ч.т.д
Ответ дал: Аноним
0
спасибо
Ответ дал: mmb1
0
(a+b)²-2ab+a²-b²=a²+2ab+b²-2ab+a²-b²=2*a²
Вас заинтересует