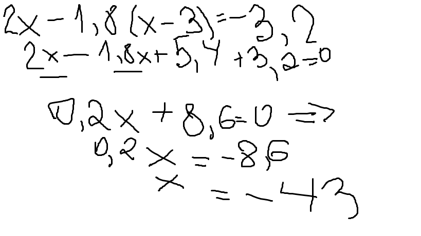
Реши уравнение:2х-1,8(х-3)=-3,2 №2:упрости выражения:-0,6а*0,75b*(-с) -(2а-3)+(4а-2) 4(1,25х-0,9у)-3х+4,6у
Ответы
Ответ дал:
0
решение уравнения(см.вложение)
Приложения:

Вас заинтересует
2 года назад
2 года назад
8 лет назад
10 лет назад
10 лет назад
10 лет назад