• Предмет: Алгебра
  • Автор: ElizabethSt01
  • Вопрос задан 11 лет назад

Помогите:
1) 2х-3у=3
    3х+2у=11 
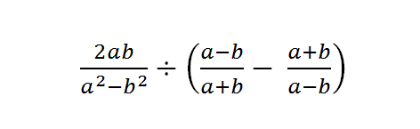
2)упростить

 

 

 

Приложения:

Ответы

Ответ дал: ученица65
0

а первое это система?

если "да",то это можно решить способом сложения

первое умножаем на 2, второе на 3.

4х-6у=6,         13х=39,         х=3,          х=3,

9х+6у=33;        2х-3у=3;       -3у=-3;      у=1.

 

 

Вас заинтересует