Ответы
Ответ дал:
0
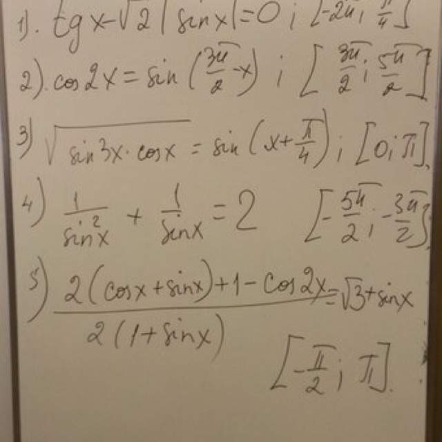
3) Возведем обе части уравнения в квадрат.
sin 3x·cosx>0
sin(x+π/4)>0
sin3x·cosx=sin²(x+π|4)
Применим формулы sinα·cosβ=1/2( sin (α+β)+sin(α-β))
sin²α=(1-cos2α)/2
получим
sin 4x+sin 2x=1-cos(2x+π/2)
формулы приведения cos(2x+π/2)=-sin 2x
sin 2x слева и справа дадут ноль, решаем sin4х=1
х=π/8+πn/2
Указанному промежутку [0;π] принадлежат два корня
х=π/8 и х=π/8+π/2
Проверка при х=π/8 sin 3π|8 ·cosπ|8 >0 -верно (оба множителя положительны) sin(π|8+π|4)>0 угол в первой четверти
при х=5π/8
sin 15π|8 ·cos 5π/8 >0 верно (оба множителя отрицательны)
sin (5π/8+π/4)>0 (угол 5π/8+2π/8 во второй четверти и его синус положительный)
Ответ π/8 и 5π/8
5) приведем к общему знаменателю,раскроем скобки.
2сosx+2sinx+1-cos²x+sin²x-2√3-2√3sinx-2sinx-2sin²x=0
1+sinx≠0
cosx-√3sinx=√3
разделим на 2
1/2 сosx-√3|2 sinx=√3|2
заменим 1/2 на sinπ/6 и √3/2 на cos π/6
получим
sin π|6·cosx - cos π|6 ·sinx=√3/2
sin (π|6-x)=√3|2
sin(х-π/6)=-√3/2
х-π/6=(-1) в степени к (-π/3)+πк - это общий ответ, но с учетом промежутка можно написать проще
х-π/6=-π/3 или х-π/6=4π/3
х=-π/6 или х=3π/2-не удовлетворяет, так как 1+sinx≠0
Ответ х=-π/6
sin 3x·cosx>0
sin(x+π/4)>0
sin3x·cosx=sin²(x+π|4)
Применим формулы sinα·cosβ=1/2( sin (α+β)+sin(α-β))
sin²α=(1-cos2α)/2
получим
sin 4x+sin 2x=1-cos(2x+π/2)
формулы приведения cos(2x+π/2)=-sin 2x
sin 2x слева и справа дадут ноль, решаем sin4х=1
х=π/8+πn/2
Указанному промежутку [0;π] принадлежат два корня
х=π/8 и х=π/8+π/2
Проверка при х=π/8 sin 3π|8 ·cosπ|8 >0 -верно (оба множителя положительны) sin(π|8+π|4)>0 угол в первой четверти
при х=5π/8
sin 15π|8 ·cos 5π/8 >0 верно (оба множителя отрицательны)
sin (5π/8+π/4)>0 (угол 5π/8+2π/8 во второй четверти и его синус положительный)
Ответ π/8 и 5π/8
5) приведем к общему знаменателю,раскроем скобки.
2сosx+2sinx+1-cos²x+sin²x-2√3-2√3sinx-2sinx-2sin²x=0
1+sinx≠0
cosx-√3sinx=√3
разделим на 2
1/2 сosx-√3|2 sinx=√3|2
заменим 1/2 на sinπ/6 и √3/2 на cos π/6
получим
sin π|6·cosx - cos π|6 ·sinx=√3/2
sin (π|6-x)=√3|2
sin(х-π/6)=-√3/2
х-π/6=(-1) в степени к (-π/3)+πк - это общий ответ, но с учетом промежутка можно написать проще
х-π/6=-π/3 или х-π/6=4π/3
х=-π/6 или х=3π/2-не удовлетворяет, так как 1+sinx≠0
Ответ х=-π/6
Ответ дал:
0
спасибо
Вас заинтересует
3 года назад
8 лет назад
8 лет назад
10 лет назад
10 лет назад
11 лет назад