• Предмет: Алгебра
  • Автор: Слаcтникова777
  • Вопрос задан 11 лет назад

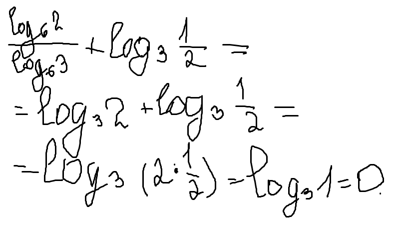
Найти значение выражения: логарифм по основанию 6 двух разделить на логарифм по основанию 6 трех +логарифм по основанию трех 0,5

Ответы

Ответ дал: Nast21
0

Найти значение логарифма. Ответ:

Приложения:
Вас заинтересует