Вот объясните кому не трудно как умножать числа с разным основанием и отрицательными степенями, на примере во вложении может правило есть, помогитенрешиить +20пкт
Приложения:

Ответы
Ответ дал:
0
ну вот смотри,
=
=
так же

если сократить, получается
так же
если сократить, получается
Ответ дал:
0
спасибо большоое что объяснили, теперь все понятно:3
Ответ дал:
0
не за что;)))
Ответ дал:
0
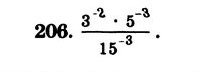
с разными основаниями можно только одинаковый показатель степени вынести...
для разных оснований только одна формула: a^n * b^n = (a*b)^n
и подсказка в данном примере в знаменателе... 15 = 3*5
за скобки выносится ((всегда))) меньший показатель степени...
-3 < -2 ---> , будем выносить показатель степени (-3)
3^(-2) = 3^(-3)*3
3^(-2)*5^(-3) = 3^(-3)*3*5^(-3) = (3*5)^(-3)*3 = 15^(-3)*3
Ответ: 3
для разных оснований только одна формула: a^n * b^n = (a*b)^n
и подсказка в данном примере в знаменателе... 15 = 3*5
за скобки выносится ((всегда))) меньший показатель степени...
-3 < -2 ---> , будем выносить показатель степени (-3)
3^(-2) = 3^(-3)*3
3^(-2)*5^(-3) = 3^(-3)*3*5^(-3) = (3*5)^(-3)*3 = 15^(-3)*3
Ответ: 3
Вас заинтересует
2 года назад
2 года назад
7 лет назад
7 лет назад
10 лет назад
10 лет назад
10 лет назад