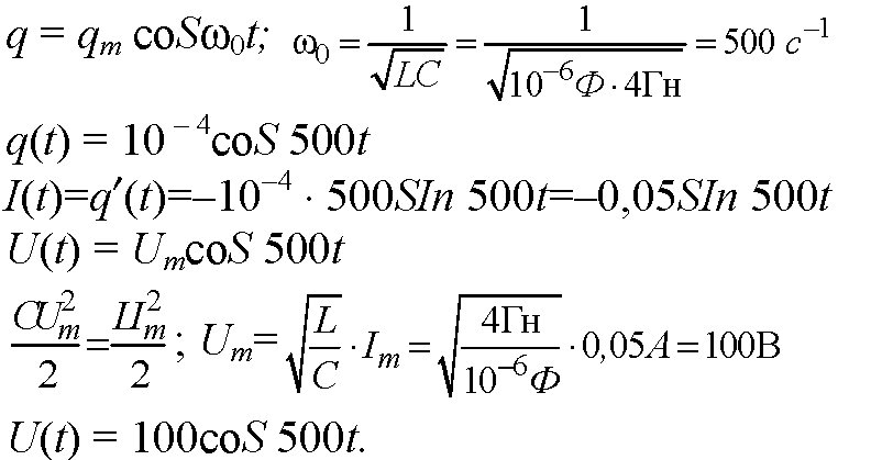
Колебательный контур состоит из конденсатора ёмкостью 1 мкФ и катушки индуктивностью 4 Гн. Амплитуда колебаний заряда на конденсаторе составляет 200 мкКл. Запишите уравнение q(t) и u(t). Постройте зависимость q(t) и u(t). Рассчитайте максимальную электрическую энергию колебательного контура. ПОЖАЛУЙСТА ПОМОГИТЕ!!!!!
Ответы
Ответ дал:
0
Здесь дано, решение и ответ
Приложения:



Вас заинтересует
2 года назад
2 года назад
8 лет назад
8 лет назад
10 лет назад
10 лет назад
10 лет назад