Ответы
Ответ дал:
0
10х+36х+4>3
46х>-1
х<1/46
46х>-1
х<1/46
Ответ дал:
0
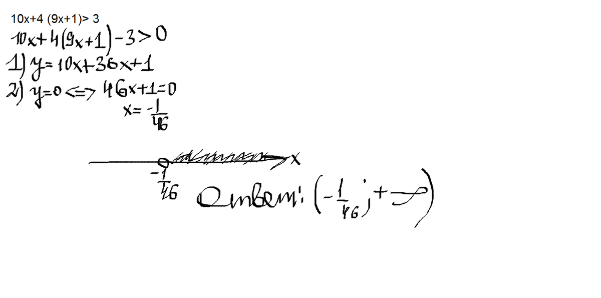
решение во вложении.
Приложения:

Ответ дал:
0
это что?
Вас заинтересует
2 года назад
8 лет назад
8 лет назад
10 лет назад
10 лет назад
10 лет назад