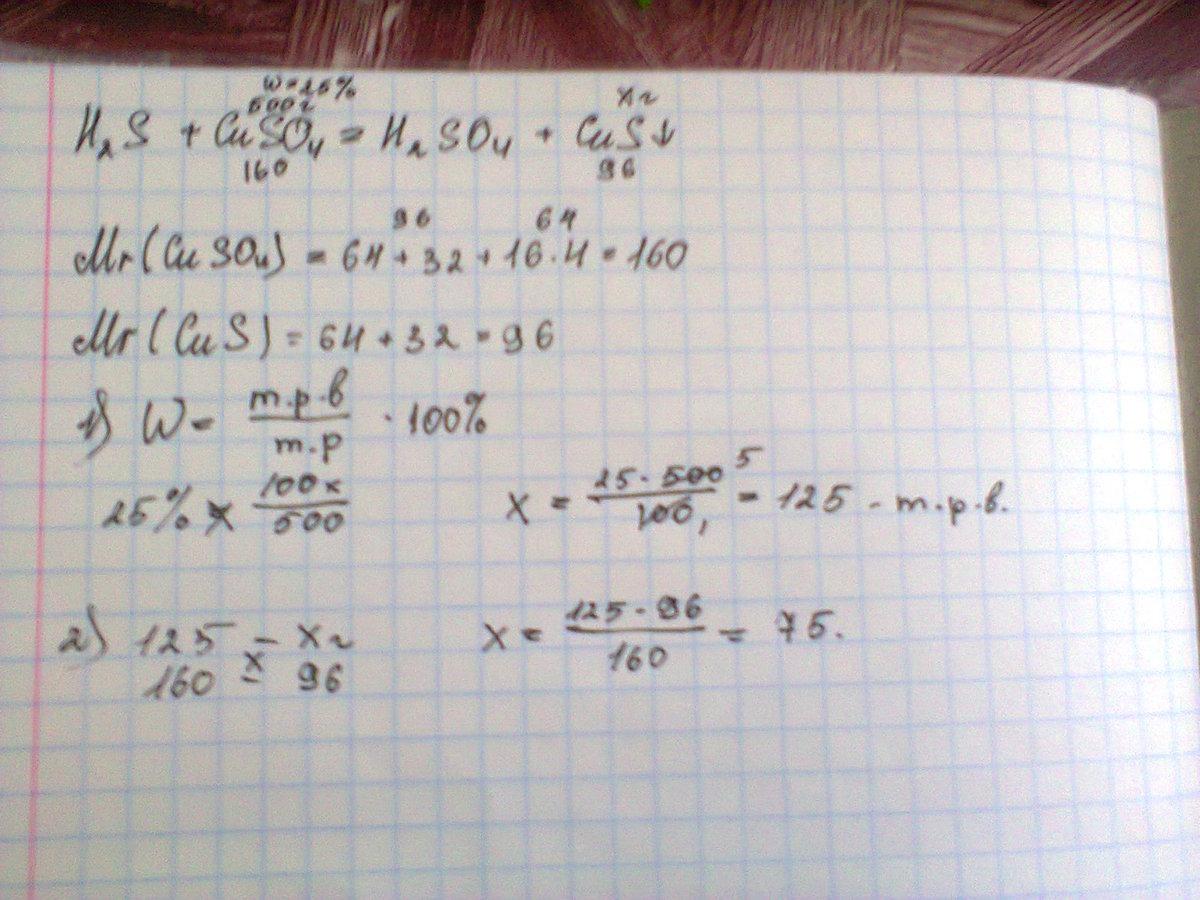
сероводород пропустили через 500г раствора сульфата меди (II) с массовой долей сульфата 25%.вычислите массу образующегося осадка
Ответы
Ответ дал:
0
Ответ:Масса осадка (CuS)= 75 гр.
Приложения:

Ответ дал:
0
H2S+CuSO4=CuS+H2SO4
125*96:160=75
Приложения:

Вас заинтересует
2 года назад
2 года назад
8 лет назад
8 лет назад
10 лет назад
10 лет назад