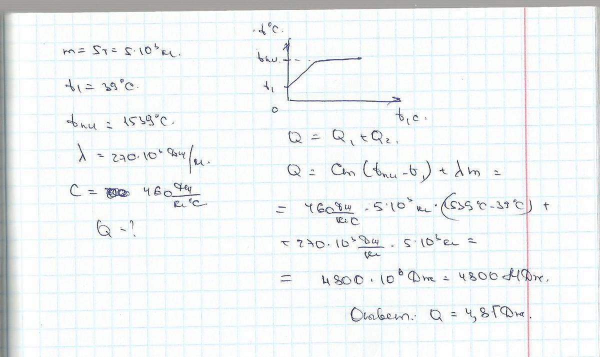
Скільки енергії потрібно для плавлення 5т. залізного металобрухту, початкова температура якого 39 °C?
Ответы
Ответ дал:
0
смотри решение на рисунке)
Приложения:

Ответ дал:
0
там ответ я записала, когда после равно, что и в какой степени)
Ответ дал:
0
Я так зрозуміла, ти знайшла кількість теплоти? А як енергію шукала?! ))))
Ответ дал:
0
так теплота это и есть вся энергия) и то, и другое измеряется в Джоулях)
Ответ дал:
0
)) пожалуйста)
Вас заинтересует
2 года назад
2 года назад
7 лет назад
7 лет назад
10 лет назад
10 лет назад
10 лет назад