• Предмет: Алгебра
  • Автор: Anise
  • Вопрос задан 11 лет назад

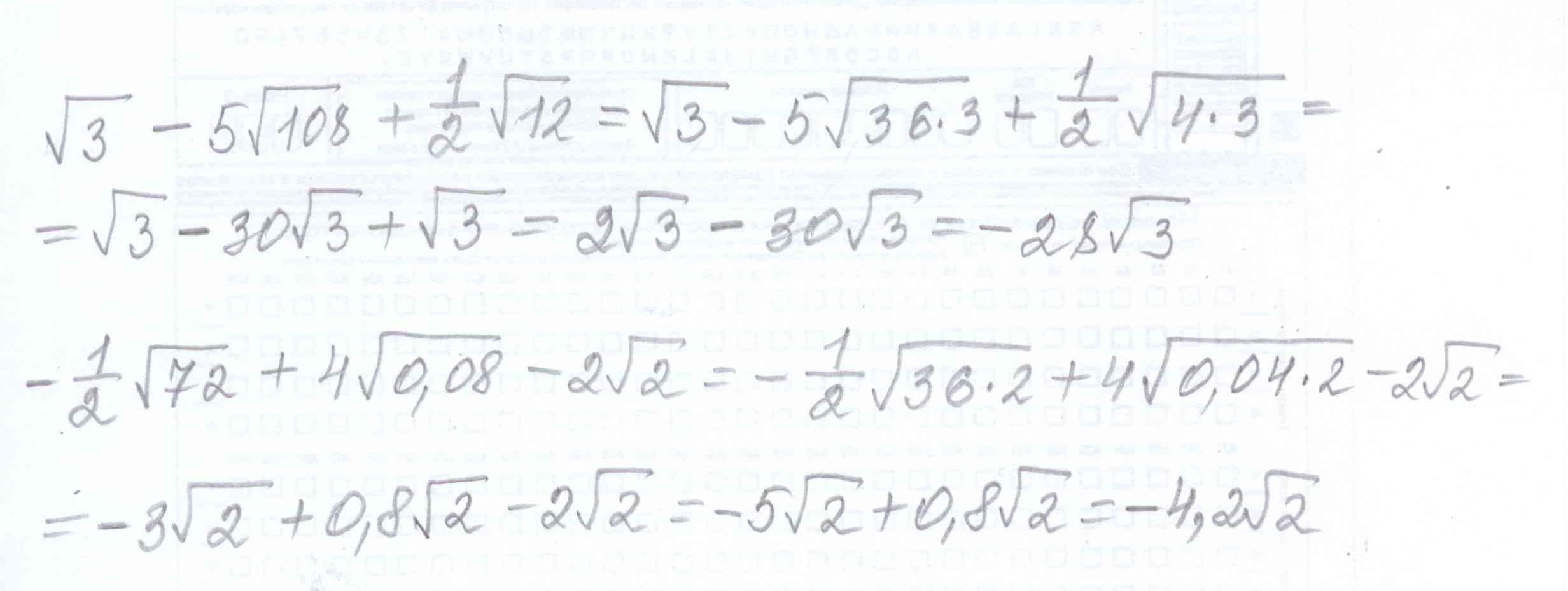
Пожалуйста, Помогите упростить: 1).√3-5√108+1/2√12; 2).-1/2√72+4√0,08-2√2.

Ответы

Ответ дал: TANYSHIK
0

решение во вложенном файлЕЕЕЕЕЕЕЕЕЕЕЕЕ!!!!!!!!!!!!!!!!

Приложения:
Вас заинтересует