Ответы
Ответ дал:
0
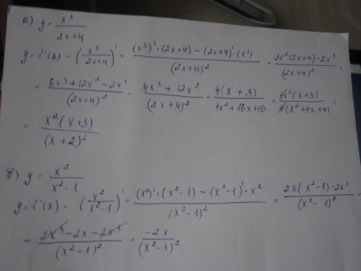
Полное решение на фото......)
Приложения:


Вас заинтересует
2 года назад
2 года назад
7 лет назад
10 лет назад