• Предмет: Алгебра
  • Автор: Евлампия
  • Вопрос задан 11 лет назад

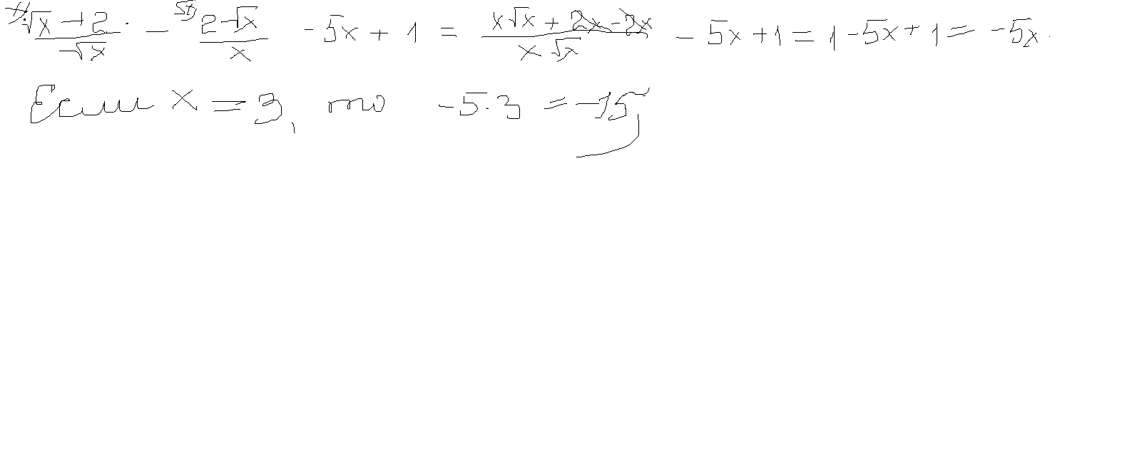
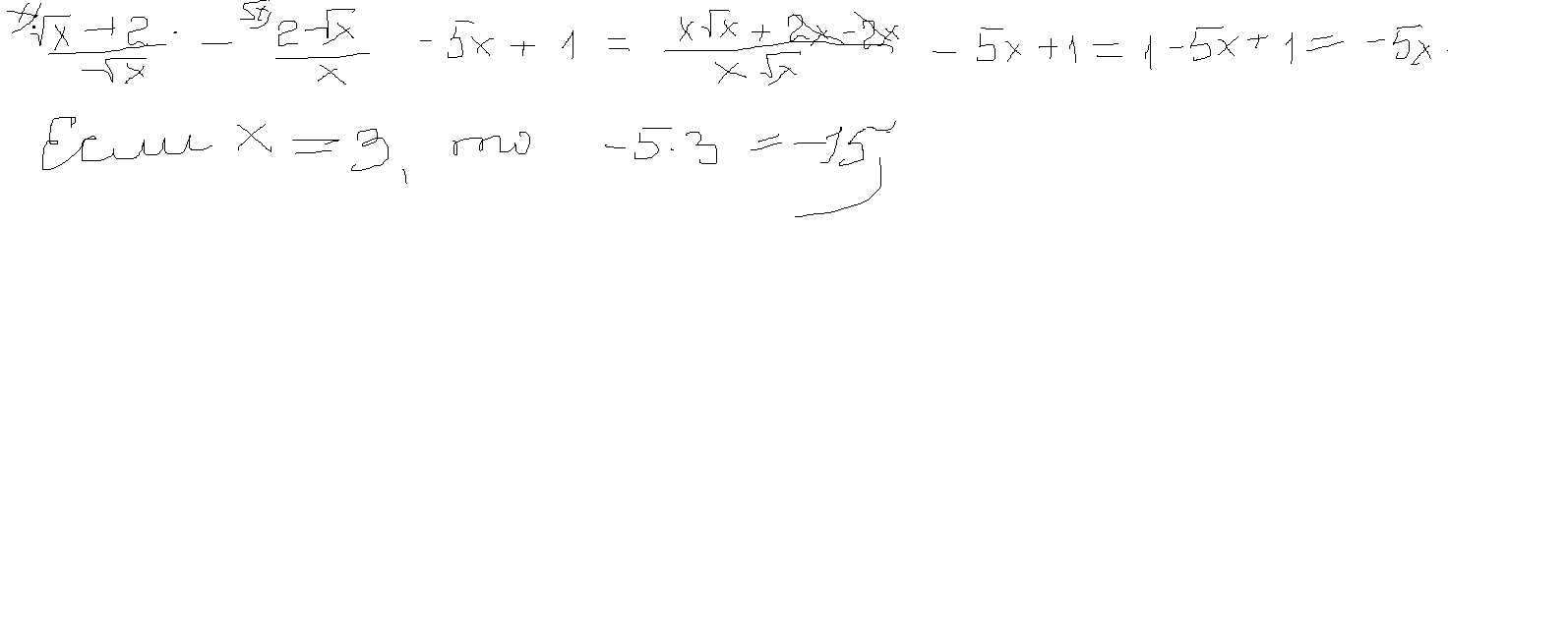
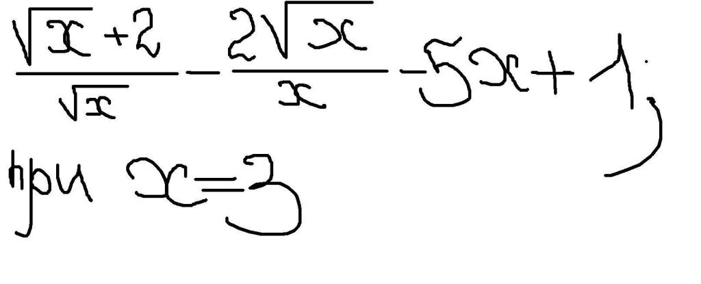
помогите решить B7. что-то не получается

Приложения:

Ответы

Ответ дал: Гоша68
0

(sqrt(x)+2)/sqrt(x)-2/sqrt(x)-5x+1=1-5x+1=2-5x

при х=3  2-5*3=-13

Ответ дал: binka086
0

вот решение. сначало надо упростить потом подставлять=)

Приложения:
Вас заинтересует