• Предмет: Алгебра
  • Автор: olivin
  • Вопрос задан 10 лет назад

Помогите срочно!!! С объяснением. См. в вложении.
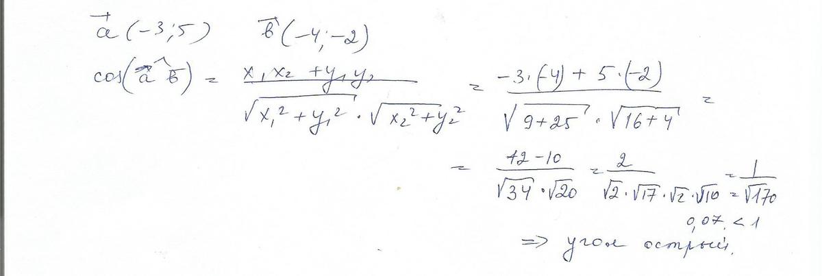
Только 1.12 .Найдите угол между векторами.

Приложения:

Ответы

Ответ дал: Юля10а
0
смотри решение на картинке. Надеюсь , понятно. Я не думала сканировать, но набирать текст долго
Приложения:
Вас заинтересует