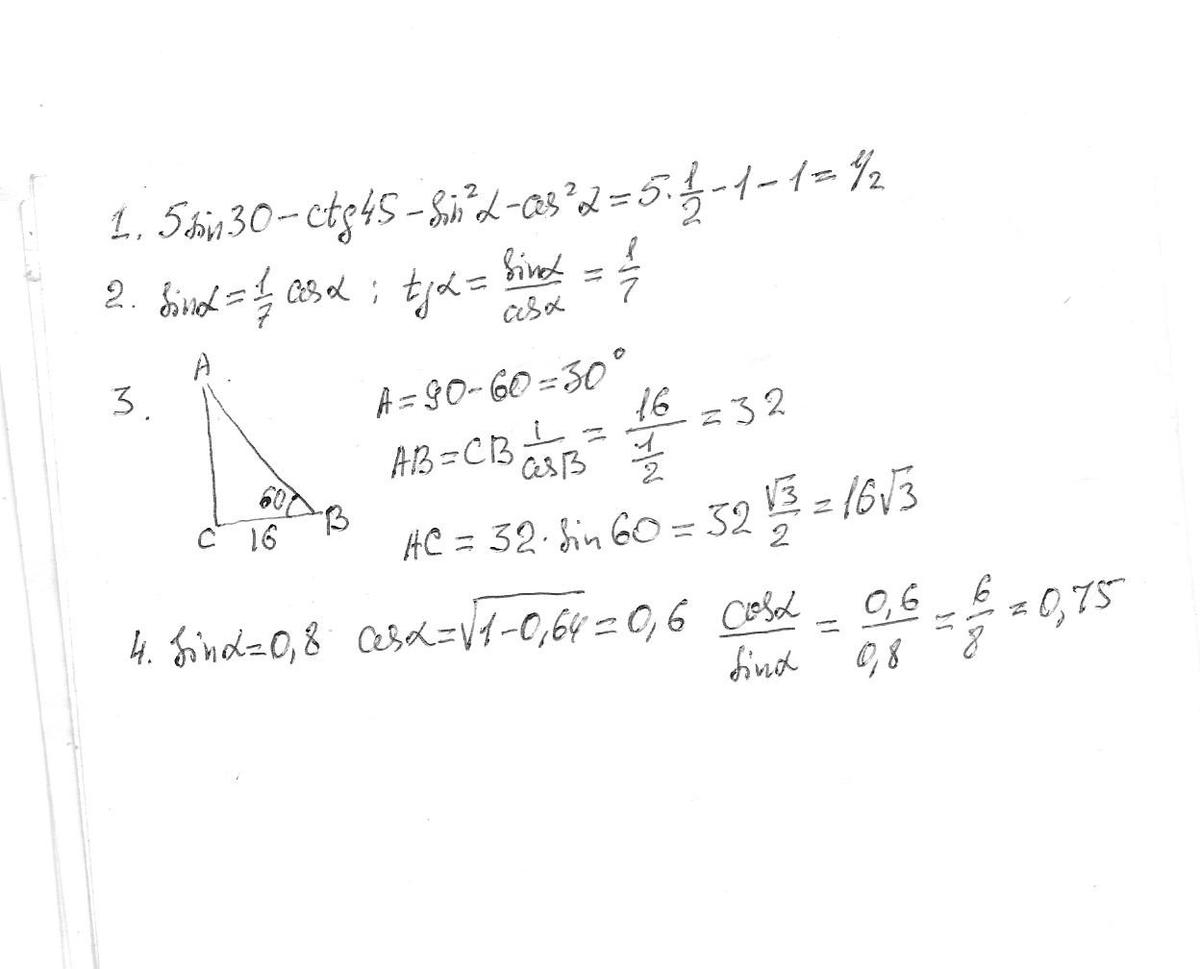
1.Упростите выражение.
5sin 30(градусов)-ctg45(градусов)-sin²α-cos²α
2.Синус острого угла в 7 раз меньше его косинуса.Найдите тангенс данного угла.
3.Решите прямоугольный треугольник с катетом 16 см и прилежащим углом 60(градусов)
4.Найдите ctg острого угла α,если sin α=0.8
Ответы
Ответ дал:
0
решение в файле............................................
Приложения:

Вас заинтересует
2 года назад
2 года назад
8 лет назад
8 лет назад
10 лет назад
10 лет назад
10 лет назад