Ответы
Ответ дал:
0
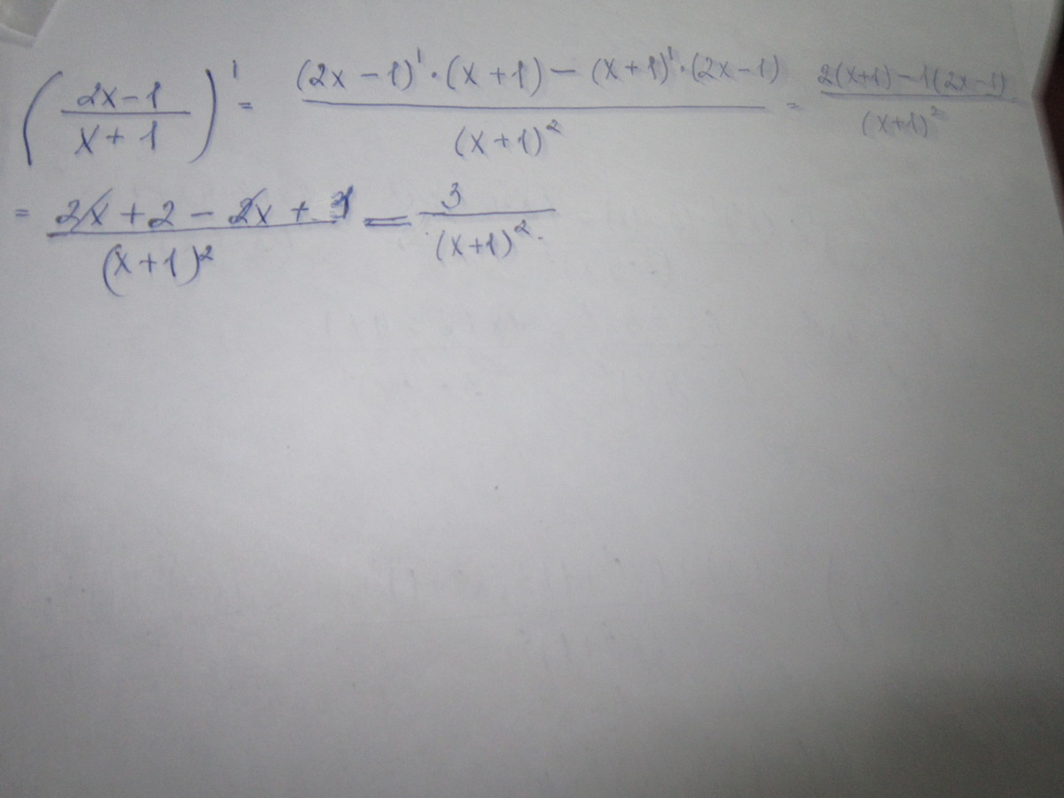
y=2x-1/x+1
f(y)'=(2x-1)'(x+1)-(2x-1)(x+1)'/(x+1)^2
f(y)'=2(x+1)-(2x-1)/(x+1)^2
f(y)'=2x+2-2x+1/(x+1)^2
f(y)'=3/(x+1)^2
по формуле производная частного(вроде как-то так)
f(y)'=(2x-1)'(x+1)-(2x-1)(x+1)'/(x+1)^2
f(y)'=2(x+1)-(2x-1)/(x+1)^2
f(y)'=2x+2-2x+1/(x+1)^2
f(y)'=3/(x+1)^2
по формуле производная частного(вроде как-то так)
Ответ дал:
0
............................................
Приложения:
Вас заинтересует
3 года назад
3 года назад
8 лет назад
8 лет назад
10 лет назад
10 лет назад
11 лет назад