• Предмет: Математика
  • Автор: gulina2014
  • Вопрос задан 10 лет назад

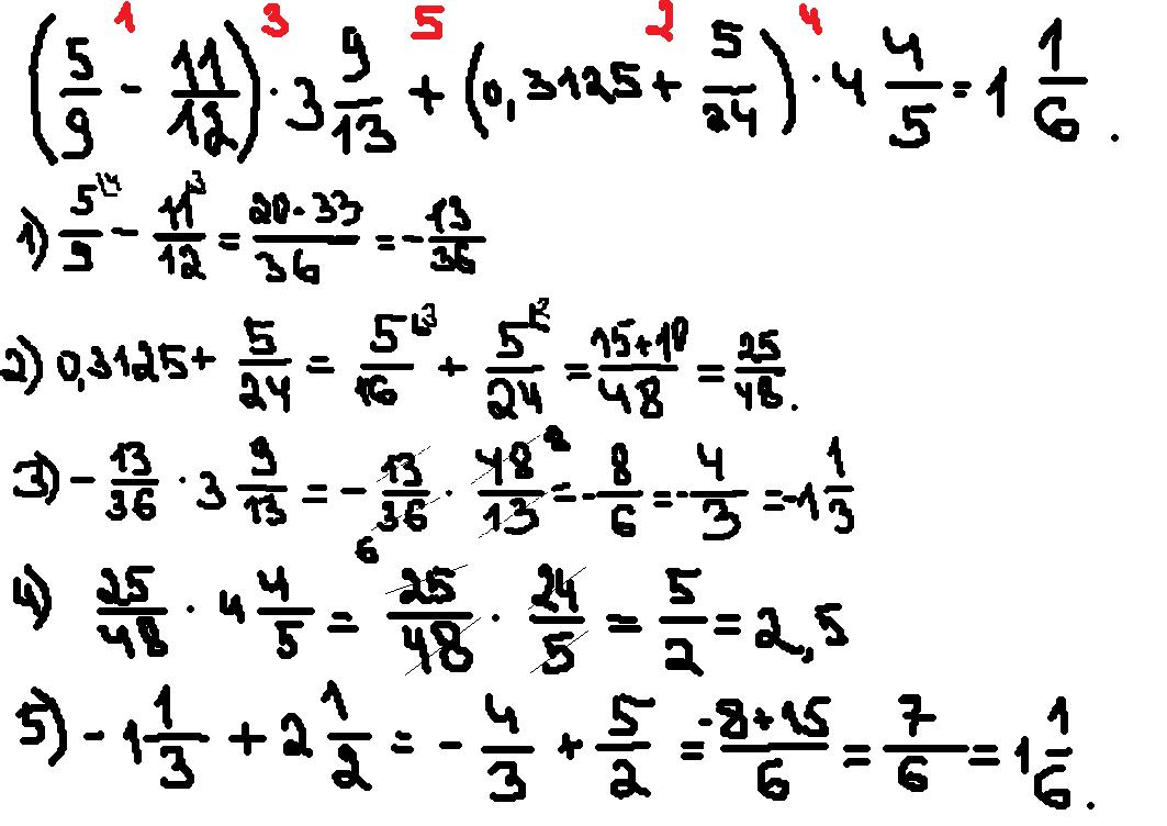
помагите нужно решение и ответ спс

Приложения:

Ответы

Ответ дал: Uragaнчik
0
Вроде так,нашел этот же пример
Приложения:
Вас заинтересует