Ответы
Ответ дал:
0
−3x²−14x−7=x²-2x+1
-3x²-14x-7-x²+2x-1=0
-4x²-12x-8=0
x²+3x+2=0
D=9-8=1
x1=(-3+1)/2=-1
x2=(-3-1)/2=-2
Ответ: -1, -2
-3x²-14x-7-x²+2x-1=0
-4x²-12x-8=0
x²+3x+2=0
D=9-8=1
x1=(-3+1)/2=-1
x2=(-3-1)/2=-2
Ответ: -1, -2
Ответ дал:
0
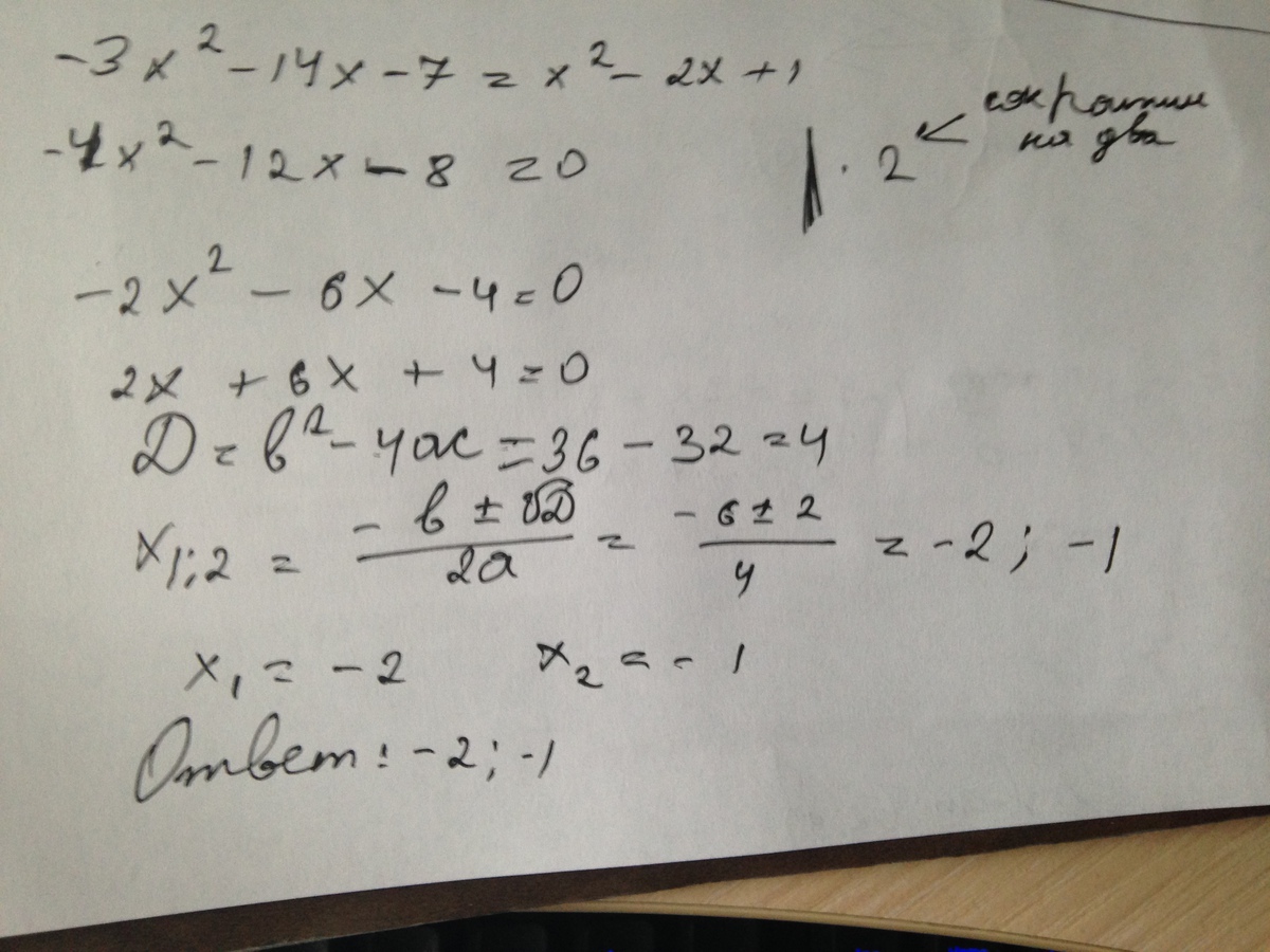
вроде так решается вот фото
Приложения:
Вас заинтересует
3 года назад
3 года назад
8 лет назад
11 лет назад
11 лет назад