Помогите с B11 и B12, информация в приложенной картинке. Мои ответы оказались не верными.
Приложения:

Ответы
Ответ дал:
0
B11: 34sin406/sin46=34sin(360+46)/sin46=34sin46/sin46=34
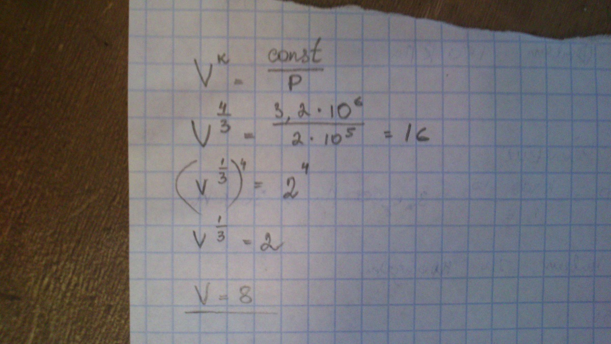
В12: смотри фото
В12: смотри фото
Приложения:

Вас заинтересует
2 года назад
7 лет назад
10 лет назад
10 лет назад