• Предмет: Алгебра
  • Автор: keenneenenene
  • Вопрос задан 10 лет назад

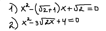
8 класс. Помогите пожалуйста, тут надо решить через дескриминат
 

Приложения:

Ответа на этот вопрос пока нет. Попробуйте найти его через форму поиска.

Вас заинтересует